Kansalaisen käsikirja - Medborgarens handbok - Citizen's guide
29 The Federal Budget and Fiscal Policy 709
Balancing Acts on Capitol Hill 710
71.1
Liittovaltion budjetti Yhdysvalloissa
K71.1 Julkisen
talouden alijäämä Suomessa
K71.2a
Julkisten menojen rakenne Suomessa1961-95
K71.2b
Julkisten menojen rakenne Suomessa 1961-96
F29.2 Budjettivaje
F29.3 Liittovaltion
verotulot ja varainkäyttö
K71.3 Julkisen
sektorin tulojen rakenne Suomessa 1961-95
F29.4 Liittovaltion velka
F29.5 Julkisen talouden
vaje maailmalla
71.2 Finanssipoliittiset
multiplierit
F29.6 Julkisen kysynnän
multiplier
F29.7 Könttäsummaveron
multiplier
F29.8 Suhdannevaihtelu
ja budjetin alijäämä
F29.9 Syklinen ja rakenneperäinen
vaje
71.3
Finanssipolitiikka lyhyellä ja pitkällä tähtäyksellä
F29.10 Finanssipolitiikka
ja kokonaiskysyntä
F29.11 Finanssipolitiikka,
reaalinen BKT ja hintataso
F29.12 Finanssipolitiikan
tarjontavaikutuksia
F29.13 Alijäämä,
lainanotto ja syrjäytysvaikutus
Julkisen talouden tasapaino = verotulot - menot
Budget balance = Tax revenues - Expenditures
Jos verotulot ylittävät menot budjetti on ylijäämäinen. Jos taas menot ylittävät verotulot, on budjetti alijäämäinen. Tasapainossa budjetti on tietenkin silloin kun verotulot ovat yhtä suuret kuin budjetin menot.
Budjettiesitys 1998 o Yleisperustelut vuodelle 1998
K71.1 Julkisen talouden alijäämä Suomessa
![]() |
|
| Kansantalouden tilinpito |
![]() |
|
| RGPC tulonsiirrot yksityisille RGBC elinkeitnotuki CEGC Julkinen kulutus |
![]() |
|
![]() |
|
![]() |
|
| YOGC Muut tulot TTAC Muut veronluontoiset tulot TIAC Välilliset verot TDPC Välittömät verot TDBC Yritysverot |
![]() |
Suomen
valtionvelka
|
1.4 Budjettivaje globaalisessa perspektiivissä
![]() |
|
1.5 Budjettireformi ja vajeen supistuminen
1.6 Osavaltion ja paikalliset budjetit
2.1 Julkisen kysynnän multiplier
| Q | T | Q-T=Y | C | I | G | C+I+G | G' | C+I+G' | |
| trln doll | |||||||||
| a | 5.0 | 0.5 | 4.5 | 3.75 | 1.0 | 0.5 | 5.25 | 1.0 | 5.75 |
| b | 6.0 | 0.5 | 5.5 | 4.50 | 1.0 | 0.5 | 6.00 | 1.0 | 6.50 |
| c | 7.0 | 0.5 | 6.5 | 5.25 | 1.0 | 0.5 | 6.75 | 1.0 | 7.25 |
| d | 8.0 | 0.5 | 7.5 | 6.00 | 1.0 | 0.5 | 7.50 | 1.0 | 8.00 |
| e | 9.0 | 0.5 | 8.5 | 6.75 | 1.0 | 0.5 | 8.25 | 1.0 | 8.75 |
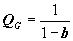
Julkisen kulutuksen multiplier = ![]()
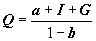
Q = C + I + G
Q = a + b Q + I + G
(1-b) Q = a + I + G
![]()
= julkisen kulutuksen multiplier
![]() |
Alunperin kokonaiskysyntäkäyrä on AE0 ja reaalinen BKT $6 trln pisteessä b. Julkisen kulutuksen kasvu $0.5 trln kasvattaa suunniteltua kokonaiskysyntää jokaisella BKT tasolla $0.5 trln. Kokonaiskysyntäkäyrä siirtyy kohdasta AE0 kohtaan AE1 suuntansa säilyttäen. Alkuperäisellä BKT tasolla $6 trln suunniteltu kokonaiskysyntä onkin nyt $6.5 trln. Koska suunniteltu kokonaiskysyntä on nyt suurempi kuin reaalinen BKT, reaalinen BKT kasvaa. Uusi tasapaino saavutetaan tasolla $8.0 trln, kohdassa d' missä AE funktio leikkaa 45-astesuoran. Tässä esimerkissä julkisen kulutuksen multiplier on siis 4, kysyntäshokilla saatiin aikaan nelinkertainen vaikutus. |
2.2 Könttäsummaveron multiplier
Könttäsummaveron multiplier = ![]()
Jos rajakulutusalttius on 3/4, tulee multiplierin arvoksi
= 
Könttäsummatulonsiirron multiplier = ![]()
![]() |
Aluksi kokonaiskysyntäkäyrä on AE0 ja tasapaino on $8 trln. Rajakulutusalttius on 0.75. Könttäsummaveroa nostetaan $1 trln, joten käytettävissä oleva tulo supistuu myös $1 tln. Supistava vaikutus kokonaiskysyntään saadaan selville tämä käytettävissä olevan tulon muutos rajakulutusalttiudella 0.75 saadaan siis $0.75 trln. Kokonaiskysyntäkäyrä siirtyy tämän verran alaspäin kohtaan AE1. Kokonaiskysyntä supistuu $3 trln, niin että se on $8 trln asemesta $5 trln. Könttäsummaverotuksen multiplier on siis -3. |
On hyvin tavallista, että talouspoliittisen toimenpiteen ehtona on, ettei se järkytä budjettitasapainoa eli aiotulle menolle on löydettävä myös rahoitus. Silloin julkisen talouden alijäämä tai ylijäämä pysyy muuttumattomana. Mikä on tällaisen finanssipoliittisen toimenpiteen kerrannaisvaikutus? Sitä mittaa tasapainoisen budjetin multiplier.
Yhdistetään julkisen kulutuksen ja könttäsummaverotuksen multiplierit
Julkisen kulutuksen multiplier = ![]()
Könttäsummaveron multiplier = ![]()
Lasketaan (vaikutukset) yhteen, saadaan
Tasapainoisen budjetin multiplier ![]()
2.4 Induced Taxes and Entitlement Spending
2.5 Ulkkomaankauppa ja finanssipoliittiset multiplierit
2.6 Automaattiset vakauttajat
![]() |
Voidaan ajatella, että pitkän tähtäyksen trendi edustaa potentiaalista BKTta. Reaalinen BKT aaltoilee silloin potentiaalisen molemmin puolin. Julkisen sektorin alijäämä kasvaa laskusuhdanteessa, koska verotulot supistuvat, vaikka julkinen kulutus ja tulonsiirrot kasvavat. |
![]() |
![]() |
Julkinen kulutus supistuu BKTn kasvaessa, koska tulonsiirrot supistuvat. Verotulot kasvavat, koska useimmat verot on sidottu tuotannon ja tulojen suuruuteen. Jos tässä BKT on $7 trln, julkisella sektorilla tasapainoinen budjetti. Jos reaalinen BKT on alle $7 trln, julkisen sektorin menot ovat suuremmat kuin tulot, budjetti on alijäämäinen. Jos BKT ylittää $7 trln, budjetti on ylijäämäinen. Jos potentiaalinen BKT on $7 trln, ei rakenteellista alijäämää ole, vaan alijäämät ova syklisiä, mutta jos potentiaalinen BKT on alle $7 trln, ovat alijäämät rakenteellisia. |
3.1 Finanssipolitiikka ja kokonaiskysyntä
![]() |
Halutaan loppujen lopuksi erottaa kokonaiskulutusmenot
ja kokonaiskysyntä. Kun puhutaan kysynnästä, on toisena
akselina aina hintataso.
Jos hintataso on 130, suunniteltu kokonaiskysyntä (suunnitellut kokonaiskulutusmenot) on AE0 (osa a) ja kokonaiskysyntä on AD0 (osa b). Julkisen kulutuksen kasvu siirtää suunnitellut kokonaiskulutusmenot kohtaan AE1 ja kokonaiskysyntäkäyrä siirtyy oikealle kohtaan AD1. |
3.2 Finanssipoliittinen ekspansio ja potentiaalinen BKT
|
|
|
| (a) lyhyen tähtäyksen vaikutus Julkisten hankintojen kasvu siirtää AD käyrää kohdasta AD0 kohtaan AD1. Jäykän hintatason olosuhteissa kansantalous olisi siirtynyt pisteeseen b. Mutta hintataso nousee niin että se on 146 ja reaalinen BKT kasvaa niin että se on $7.6 trln. |
(b) pitkän tähtäyksen vaikutus Pisteessä c reaalinen BKT ylittää potentiaalisen ja työttömyys on luonnollista vähäisempi. Nimellispalkka nousee ja lyhyen tähtäyksen kokonaistarjonta supistuu. SAS käyrä siirtyy vasemmalle kohtaan SAS1 ja kansantalous siirtyy poisteeseen a'. Hintataso nousee niin että se on 176 ja reaalinen BKT palaa tasolle $6 trln. |
3.3 Finanssipolitiikan rajoitukset
|
|
|
| (a) Traditionaalinen näkemys Veronalennus lisää kokonaiskysyntää ja siirtää AD käyrän kohdasta AD0 kohtaan AD1 (molemmissa osissa). Tällaisella politiikalla on myös tarjontavaikutuksia. Jos tarjontavaikutukset ovat vähäisiä, SAS käyrä siirtyy oikealle kohdasta SAS0 kohtaan SAS1 osassa a. Kysyntävaikutus dominoi tarjontavaikutusta ja reaalinen BKT kasvaa ja hintataso kohoaa. |
(b) Tarjontaperusteinen näkemys Jos veronalennuksen tarjontavaikutukset ovat suuret, SAS käyrä siirtyy kohtaan SAS1 osassa b. Tässä tapauksessa tarjontavaikutus on yhtä suuri kuyin kysyntävaikutus ja hintataso jää ennalleen. Mutta jos tarjontavaikutus olisi suurempi kuin kysyntävaikutus, hintataso jopa laskisi. |
3.5 Taakka tuleville sukupolville?
3.6 Syrjäytysvaikutukset
![]() |
|
| (a) Lainamarkkinat Osassa (a) nähdään lainamarkkinat. Lainojen kysyntä on D0 ja lainojen tarjonta S0. Lainojen tasapaino on $1 trln korolla 3 ppa (prosenttia vuodessa). Osassa b investointikysyntä on ID ja koron ollessa 3 investoinnit ovat $0.8 trln. Julkinen sektori on alijäämäinen. Alijäämä rahoitetaan lainanotolla. |
(b) Investoinnit Julkisen sektorin lainantarve kasvattaa kysyntää lainamarkkinoilla ja siirtää kysyntäfunktion kohtaan D1. Reaalinen kokro nousee niin että se on 4 prosenttia vuodessa (osa b) ja investoinnit sen takia supistuvat niin että ne ovat $0.5 trln. Julkisen sektorin alijäämä syrjäyttää investointeja tuotantopääomaan. |
3.7 Ricardolainen yhdenvertaisuus
RBL Finanssipolitiikka käytännössä
29 The Federal Budget and Fiscal Policy 709
Balancing Acts on Capitol Hill 710
The Federal Budget 711 The Institutions and Laws 711 Highlights of the 1995 Budget 712 The Budget in Historical Perspective 713 The Budget Deficit in Global Perspective 716 Budget Reform and Deficit Reduction 716 State and Local Budgets 718
Fiscal policy multipliers 718 The Government Purchases Multiplier 719 The Lump-Sum Tax Multiplier 721 The Balanced Budget Multiplier 722 Induced Taxes and Entitlement Spending 722 International Trade and Fiscal Policy Multipliers 722 Automatic Stabilizers 723
Fiscal policy in the Short Run and the Long Run 725 Fiscal Policy and Aggregate Demand 725 Fiscal Expansion at Potential GDP 727 Limitations of Fiscll policy 728 Fiscal Policy and Aggregate Supply 728 A Burden of Future Generations? 729 Crowding out 730 Ricardian Equivalence 731
READING BETWEEN THE LINES Fiscal policy in Action 732
Sivun
alkuun o H63 Harjoitustehtävät
AJK kotisivu o AJK
ohjelmasivu o Kansantalouden kurssit
o Suomen kansantalous
Asko Korpela 980425 (970322) o Asko.Korpela@kolumbus.fi (palaute)
[ccc]